Polymer fractionation

Polymers
Polymers are macromolecules consisting of repetition units, so-called monomers, and are often composed of a mixture of different chain lengths. They are omnipresent e.g. as polypeptides/proteins, starch/corn or cellulose/wood. Since one hundred years polymers can be produced in labs. Nowadays the industrial synthesized polymers, e.g. in the form of clothes, packaging materials, car tyres, cosmetics and foodstuffs, play an important role in the modern life.
Both biopolymers and their derivates and also special synthesized polymers fulfil high duties in medicine, cosmetics and industry. For these special applications it is often very harmful that the polymers consist of molecules with different molecular weight. For linear molecules this means that they have a broad molecular weight distribution. This characteristic can be a problem for a technical application and for the application as pharmaceutical products.
For special demands it is necessary to remove harmful material which cannot be avoided during the synthesis. This kind of separation of shorter or longer chains is called fractionation.
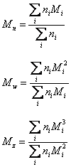
Unlikely low molecular weight components that consist of one kind of molecule only, polymers consist of a mixture of molecules with different molar masses. Therefore the molar masses of polymers are always gives as averages. There exist different ways of determine the average differing in the kind of weighting. Commonly used average molar masses are the number average molar mass Mn, the weight average molar mass Mw, and the z average molar mass Mz:
ni is the amount of molecules having the molar mass Mi.
The different averages can be determind with different methods (Mn by osmosis, Mw by light scattering, and Mz by ultracentrifugation). The most powerful methods to determine the molar masses are the Gel Permeation Chromatography (GPC, also Size Exclusion Chromatography, SEC) and MALDI-TOF-MS (matrix assisted laser deionization/ionization - time of flight - mass spectroscopy), because they can determine the whole molecular weight distribution. Therefore they give access to the polydispersity index D:
The polydispersity index is a measure for the broadness of the molecular weight distribution. For polymers that consist of molecules with one kind of chain length only (e.g. proteins), the polydispersity index is 1. As the difference in chain length increase the polydispersity index is rising.
By removing short and/or long chains - like done at the fractionation - the polydispersity index can be reduced. Unfortunately the typical separation methods for low molecular materials like distillation and fractionational crystallisation fail for polymers because they do not evaporate and most of them do not crystallize. Therefore the separation has to be performed in the dissolved state. One possibility is the preparative GPC. However this method is unsuitable for the production of amounts that exceed several grams.
Methods that enable the production of larger amounts are based on liquid-liquid phase separation of polymer containing systems. The basics of this kind of fractionation are presented on the following side.